РАЗРАБОТКА ИНТЕЛЛЕКТУАЛЬНОЙ СИСТЕМЫ ПРОГНОЗИРОВАНИЯ ЦЕН НА БИТКОИН С ИСПОЛЬЗОВАНИЕМ МНОГОФАКТОРНОЙ ЛИНЕЙНОЙ РЕГРЕССИИ
Конференция: CCCXXII Студенческая международная научно-практическая конференция «Молодежный научный форум»
Секция: Технические науки
лауреатов
участников
лауреатов


участников



CCCXXII Студенческая международная научно-практическая конференция «Молодежный научный форум»
РАЗРАБОТКА ИНТЕЛЛЕКТУАЛЬНОЙ СИСТЕМЫ ПРОГНОЗИРОВАНИЯ ЦЕН НА БИТКОИН С ИСПОЛЬЗОВАНИЕМ МНОГОФАКТОРНОЙ ЛИНЕЙНОЙ РЕГРЕССИИ
DEVELOPMENT OF AN INTELLIGENT BITCOIN PRICE FORECASTING SYSTEM USING MULTIFACTOR LINEAR REGRESSION
Zhanuzakov Azamat Zhetkerbaevich
Student of Moscow Aviation Institute (National Research University), Russia, Moscow
Zhumatayeva Zhanat
Academic advisor, Candidate of Sciences in Technologies, Associate professor, Branch "Voskhod" of the Moscow Aviation Institute in Baikonur, Kazakhstan, Baikonur
Аннотация. В данной работе представлена разработка интеллектуальной системы прогнозирования цен на биткоин с использованием метода многофакторной линейной регрессии. Актуальность исследования обусловлена высокой волатильностью криптовалютного рынка и необходимостью создания инструментов для повышения точности прогнозов. Система учитывает несколько факторов, влияющих на стоимость биткоина, включая исторические цены, объем торгов, рыночные индикаторы и макроэкономические параметры. Прогнозирование цен на основе многофакторной линейной регрессии позволяет получать надежные прогнозы и повышать эффективность принятия инвестиционных решений.
Abstract. This paper presents the development of an intelligent bitcoin price forecasting system using the multivariate linear regression method. The relevance of the study is due to the high volatility of the cryptocurrency market and the need to create tools to improve the accuracy of forecasts. The system takes into account several factors that affect the value of bitcoin, including historical prices, trading volume, market indicators, and macroeconomic parameters. Price forecasting based on multifactorial linear regression allows us to obtain reliable forecasts and improve the efficiency of investment decision-making.
Ключевые слова: биткоин, криптовалюты, прогнозирование цен, многофакторная линейная регрессия, коэффициент детерминации, аналитика временных рядов, инвестиции.
Keywords: bitcoin, cryptocurrencies, price forecasting, multifactorial linear regression, coefficient of determination, time series analytics, investments.
Криптовалютный рынок характеризуется высокой волатильностью, что делает прогнозирование цен сложной задачей. Несмотря на широкое применение методов машинного обучения и нейронных сетей, многофакторная линейная регрессия является эффективным инструментом для анализа временных рядов и выявления зависимости между ценой биткоина и множеством факторов.
Цель исследования - разработка системы, способной прогнозировать цену биткоина на основе исторических данных и дополнительных переменных, влияющих на рынок, с высокой точностью.
Многофакторная линейная регрессия описывает зависимость целевой переменной Y (цену биткоина) от множества независимых переменных X1,X2,...,Xn по формуле:

где:
Y - прогнозируемая цена биткоина;
Xi - i-й фактор, влияющий на цену (например, объем торгов, открытие/закрытие рынка, индикаторы волатильности, макроэкономические показатели);
bI - коэффициенты регрессии, определяемые методом наименьших квадратов;
ϵ - случайная ошибка модели.
Для построения модели были выбраны следующие факторы:
Историческая цена закрытия – X1;
Объем торгов – X2;
Цена открытия – X3;
Максимальная и минимальная цена за день – X4 и Х5;
Волатильность рынка – X6;
Дополнительные макроэкономические показатели – X7, X8.
Для решение задачи были выполнены процессы сбора и подготовки данных за период с 16.10.2025 по 16.11.2025. Сбор включает ежедневные значения цен и объемов торгов. Данные будут очищены от пропусков и аномалий. Затем значения приведут к единому масштабу с помощью нормализации. Набор данных разделят на обучающую выборку (80%) и тестовую выборку (20%) для обучения и проверки модели.
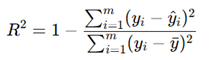
Для оценки точности модели используется коэффициент детерминации R2:

где:
yi - реальные значения цен;
ŷi - прогнозные значения цен;
ȳ - среднее значение наблюдаемых цен;
m - количество наблюдений.
Пример расчета ошибки Root Mean Square Error (RMSE):

После выполнения процессов сбора данных за период с 16.10.2025 по 16.11.2025, включающих ежедневные значения цен и объема торгов, были проведены очистка данных от пропусков и аномалий и нормализация для приведения всех факторов к единому масштабу. Затем был выполнен выбор значимых переменных, таких как историческая цена закрытия, объем торгов, цены открытия, максимум и минимум за день, волатильность и макроэкономические показатели. Набор данных разделили на обучающую выборку (80%) и тестовую выборку (20%). После обучения модели методом многофакторной линейной регрессии на обучающей выборке и последующего прогнозирования на тестовой выборке был рассчитан коэффициент детерминации R² ≈ 0.91.
Многофакторная линейная регрессия была выбрана для прогнозирования цен на биткоин из-за своей способности учитывать одновременно несколько факторов, влияющих на стоимость криптовалюты. В отличие от классических методов временных рядов, таких как ARIMA или экспоненциальное сглаживание, которые анализируют только исторические значения самой целевой переменной, многофакторная регрессия позволяет включать внешние переменные. К ним относятся объем торгов, цены открытия и закрытия, максимумы и минимумы за день, а также макроэкономические показатели, которые могут оказывать влияние на рынок.
Этот метод хорошо проявил себя, потому что позволяет выявлять и количественно оценивать влияние каждого фактора на цену. Благодаря этому модель не просто повторяет прошлые тенденции, а учитывает комплекс факторов, повышающих точность прогнозов. Кроме того, многофакторная линейная регрессия проста в реализации, интерпретируема и не требует сложных вычислительных ресурсов, что делает её удобной для практического применения в аналитике и принятии инвестиционных решений.
Применение этого метода на собранных данных показало высокий коэффициент детерминации R² ≈ 0.91 и низкую ошибку прогнозирования, что подтверждает эффективность подхода. Эти результаты демонстрируют, что многофакторная регрессия может служить надежным инструментом для прогнозирования цен на биткоин на фоне более простых или традиционных методов.
Эти результаты позволяют использовать разработанную модель не только для анализа исторических данных, но и для принятия практических решений на рынке криптовалют. Трейдеры и инвесторы могут применять прогнозные значения для планирования операций покупки и продажи биткоина, оценки рисков и формирования инвестиционных стратегий. Благодаря возможности учитывать несколько факторов одновременно, модель помогает выявлять потенциальные тенденции и сигналы рынка, которые могут быть неочевидны при использовании традиционных методов. Таким образом, многофакторная линейная регрессия служит надежным инструментом поддержки принятия решений, повышая эффективность и точность прогнозов на волатильном криптовалютном рынке.

