ДЕТЕРМИНАНТЫ ИШЕМИЧЕСКОГО ИНСУЛЬТА У ПАЦИЕНТОВ С АРТЕРИАЛЬНОЙ ГИПЕРТЕНЗИЕЙ
Конференция: LXXXI Международная научно-практическая конференция «Научный форум: медицина, биология и химия»
Секция: Внутренние болезни

LXXXI Международная научно-практическая конференция «Научный форум: медицина, биология и химия»
ДЕТЕРМИНАНТЫ ИШЕМИЧЕСКОГО ИНСУЛЬТА У ПАЦИЕНТОВ С АРТЕРИАЛЬНОЙ ГИПЕРТЕНЗИЕЙ
DETERMINANTS OF ISCHEMIC STROKE IN PATIENTS WITH ARTERIAL HYPERTENSION
Sapotsko Tatyana
Senior lecturer, Grodno State Medical University, Republic of Belarus, Grodno
Pronko Tatyana
Candidate of Medical Sciences, Associate Professor, Grodno State Medical University, Republic of Belarus, Grodno
Lisai Yuliya
Neurologist, Grodno Regional Clinical Hospital of Medical Rehabilitation, Republic of Belarus, Grodno
Aleksandrova Tatyana
General practitioner, City Polyclinic №. 5, Grodno, Republic of Belarus, Grodno
Aleksandrova Olga
General practitioner (head), City Polyclinic №. 5, Grodno, Republic of Belarus, Grodno
Trubko Darya
Student, Grodno State Medical University, Republic of Belarus, Grodno
Kapytski Andrei
Senior lecturer, Grodno State Medical University, Republic of Belarus, Grodno
Аннотация. В исследовании анализируются ключевые детерминанты острого ишемического инсульта у пациентов с артериальной гипертензией с использованием логистической регрессии. Установлено, что значимыми предикторами являются возраст, уровень скорости оседания эритроцитов, фибриногена, общего белка, холестерина не-липопротеинов высокой плотности, С-реактивного белка, что позволяет улучшить стратификацию пациентов и оптимизировать профилактические меры. Результаты подтверждают необходимость комплексного контроля артериальной гипертензии и сопутствующих факторов для снижения риска инсульта.
Absract. The study analyzes key determinants of acute ischemic stroke in patients with arterial hypertension using logistic regression. It has been established that significant predictors include age, erythrocyte sedimentation rate, fibrinogen, total protein, non-high-density lipoprotein cholesterol, and C-reactive protein, which allows for improved patient stratification and optimization of preventive measures. The results confirm the need for comprehensive management of hypertension and associated factors to reduce stroke risk.
Ключевые слова: ишемический инсульт, артериальная гипертензия, факторы риска.
Keywords: ischemic stroke, arterial hypertension, risk factors.
Артериальная гипертензия (АГ) является одним из значимых и распространённых модифицируемых факторов риска развития ишемического инсульта [5]. Несмотря на широкую осведомлённость о данной связи, идентификация конкретных предикторов, которые определяют реализацию этого риска у пациентов с АГ, остаётся актуальной задачей. Выявление таких детерминант позволяет улучшить стратификацию риска, и разработать более целенаправленные и персонализированные стратегии первичной профилактики. Особый интерес представляют коморбидные состояния и лабораторные маркёры (такие как дислипидемия, нарушение углеводного обмена и системное воспаление), которые могут потенциировать повреждающее действие АГ на церебральные сосуды.
Цель исследования – определить факторы, влияющие на риск развития ишемического инсульта у пациентов с артериальной гипертензией.
Выполнено обследование 191 пациента с АГ. В зависимости от наличия перенесенного ишемического инсульта пациенты разделены на 2 группы. Группу 1 составили 102 пациента с первичным ишемическим инсультом головного мозга (53 мужчины, 49 женщин) и АГ в анамнезе, находившихся на стационарном лечении в неврологическом отделении для пациентов с острыми нарушениями мозгового кровообращения ГУЗ «Гродненская областная клиническая больница медицинской реабилитации». Наличие ишемического инсульта подтверждено данными компьютерной или магнитно-резонансной томографии. У 23,53 % (24 пациента) был инсульт кардиоэмболического подтипа, у 76,47% (78 пациентов) – атеротромботический подтип. В группу 2 вошли 89 пациентов (47 мужчин, 42 женщины) с АГ без сердечно-сосудистых событий в анамнезе (инфаркта миокарда, острого нарушения мозгового кровообращения), обращавшихся за медицинской помощью в ГУЗ «Городская поликлиника №5 г. Гродно».
Всем пациентам произведён расчёт индекса массы тела (ИМТ) по формуле Кетле, пациенты были опрошены на наличие в анамнезе АГ, перенесенного ранее инфаркта миокарда, фибрилляции предсердий, СД. Всем пациентам было выполнено ультразвуковое исследование БЦА. Выполнялись лабораторные исследования: общий анализ крови с определением уровней эритроцитов, гемоглобина, лейкоцитов, тромбоцитов, скорости оседания эритроцитов (СОЭ); гемостазиограмма с определением протромбинового времени (ПТВ), международного нормализованного отношения (МНО), активированного частичного тромбопластинового времени (АЧТВ), протромбинового индекса (ПТИ), фибриногена; биохимического анализа крови с определением общего белка, мочевины, креатинина, расчёт скорости клубочковой фильтрации (СКФ), общего холестерина, холестерина липопротеинов высокой плотности (ХС ЛПВП), холестерина липопротеинов низкой плотности (ХС ЛПНП), триглицеридов, расчёт показателя не-ЛПВП-холестерина, глюкозы, общего билирубина, аспартатаминотрансферазы (АСТ), аланинаминотрансферазы (АЛТ), СРБ, ионов калия, натрия, хлора. Расчёт показателя не-ЛПВП-холестерина выполнялся по формуле: общий холестерин – холестерин липопротеинов высокой плотности. Расчёт СКФ выполнен по формуле CKD-EPI. Выполнен анализ терапии на амбулаторном этапе перед госпитализацией антиагрегантами, антикоагулянтами, статинами.
Статистический анализ данных выполнялся при помощи программы StatSoft STATISTICA 10.0, для регрессионного и ROC-анализа использовался язык программирования «R 4.0» с пакетами расширений «ROCR» и «pROC». Описательные статистики численных показателей представлены в виде медианы, нижнего и верхнего квартилей (Ме [LQ; UQ]) при распределениях, отличных от нормального (нормальность распределений проверялась при помощи критериев Лиллиефорса и Шапиро – Уилка). Две независимые группы сравнивались по численному показателю с помощью U-критерия Манна – Уитни. При сравнении долей (процентов) бинарных переменных между 2 независимыми группами использовался точный критерий Фишера (ТКФ) либо критерий χ²-Пирсона с поправкой Йетса. Оценка влияния совокупности предикторов на бинарную зависимую переменную проводилась с помощью модели логистической регрессии. Пороговый уровень статистической значимости был принят равным 0,05.
Основные клинико-лабораторные характеристики пациентов групп 1 и 2 представлены в таблице 1.
Таблица 1.
Клинико-лабораторные характеристики исследуемых групп пациентов
|
Параметр |
Группа 1 n=102 |
Группа 2 n=89 |
Значение р |
|
Возраст, лет |
73,0 [63,0; 81,0] |
65,5 [57,0; 69,0] |
0,000000 |
|
ИМТ (кг/м2) |
28,17 [19,38; 48,90] |
29,60 [26,47; 34,00] |
0,038 |
|
Фибрилляция предсердий в анамнезе, n (%) |
23 (22,55%) |
25 (28,09%) |
χ²=0,51, p=0,48 |
|
Сахарный диабет, абс. (%) |
22 (21,57%) |
22 (24,72%) |
χ²=0,22, p=0,64 |
|
Приём ацетилсалициловой кислоты, n (%) |
67 (65,67%) |
15 (16,85%) |
χ²=37,8, p<0,0001 |
|
Приём ривароксабана, абс. (%) |
3 (2,94%) |
7 (7,87%) |
χ²=1,44, p=0,23 |
|
Приём статинов, абс. (%) |
22 (21,57%) |
30 (33,71%) |
χ²=2,95, p=0,086 |
|
Атеросклероз БЦА, абс. (%) |
100 (98,04%) |
73 (82,02%) |
ТКФ=0,0001 |
|
Процент стеноза, % |
35 [10; 50] |
30 [20; 40] |
0,072 |
|
Эритроциты, х1012/л |
4,49 [4,2; 4,88] |
4,60 [4,27; 4,88] |
0,332 |
|
Гемоглобин, г/л |
143 [134; 157] |
137 [126; 151] |
0,039 |
|
Лейкоциты, х109/л |
7,78 [6,30; 9,60] |
6,60 [5,60; 8,21] |
0,0027 |
|
Тромбоциты, х109/л |
194 [145; 228] |
232 [191; 255] |
0,00035 |
|
СОЭ, мм/час |
14 [8; 22] |
15 [7; 20] |
0,908 |
|
АЧТВ, сек |
24,7 [22,1; 27,3] |
26,8 [23,9; 29,1] |
0,0025 |
|
ПТВ, сек |
14,3 [13,2; 15,5] |
13,0 [11,6; 14,3] |
0,000003 |
|
ПТИ |
0,9 [0,83; 0,96] |
0,97 [0,92; 1,04] |
0,00024 |
|
МНО |
1,13 [1,05; 1,22] |
1,04 [1,00; 1,11] |
0,000207 |
|
Фибриноген, г/л |
4,33 [3,80; 5,37] |
4,29 [3,50; 5,00] |
0,1357 |
|
Общий белок, г/л |
65,0 [61,0; 69,3] |
71,0 [69,0; 74,0] |
0,00000 |
|
Мочевина, ммоль/л |
6,52 [5,20; 8,00] |
7,30 [5,80; 9,20] |
0,121 |
|
Креатинин, мкмоль/л |
90,5 [75,9; 110,3] |
92,0 [85,0; 104,0] |
0,951 |
|
Общий холестерин, ммоль/л |
5,00 [4,30; 6,30] |
4,90 [4,10; 5,80] |
0,291 |
|
ХС ЛПВП, ммоль/л |
1,45 [1,15; 1,80] |
1,32 [1,08; 1,60] |
0,139 |
|
ХС ЛПНП, ммоль/л |
2,77 [2,08; 3,60] |
2,64 [1,80; 3,54] |
0,475 |
|
Не-ЛПВП-холестерин, ммоль/л |
3,62 [2,88; 4,77] |
3,60 [2,83; 4,60] |
0,487 |
|
Триглицериды, ммоль/л |
1,33 [0,98; 1,89] |
1,77 [1,22; 2,55] |
0,0018 |
|
Глюкоза, ммоль/л |
6,10 [5,30; 7,40] |
5,74 [5,15; 6,50] |
0,0299 |
|
СКФ, мл/мин/1,73 м² |
63,65 [48,00; 77,00] |
61,00 [49,00; 79,00] |
0,926 |
|
СРБ, мг/л |
7,65 [4,30; 12,20] |
4,00 [1,80; 8,50] |
0,0024 |
|
Общий билирубин, мкмоль/л |
11,3 [8,95; 15,95] |
11,78 [9,10; 17,44] |
0,409 |
|
АСТ, Ед/л |
22,9 [18,4; 33,0] |
23,0 [20,0; 30,6] |
0,938 |
|
АЛТ, Ед/л |
17,5 [12,6; 27,8] |
23,5 [17,6; 29,0] |
0,003 |
|
Калий, ммоль/л |
4,38 [4,11; 4,72] |
4,40 [3,94; 4,74] |
0,593 |
|
Натрий, ммоль/л |
139,6 [137,5; 141,1] |
141,2 [137,9; 145,9] |
0,003 |
|
Хлориды, ммоль/л |
107,3 [104,8; 109,4] |
104,3 [101,4; 107,6] |
0,00027 |
Как видно из таблицы 1 группы имели статистически значимые отличия по показателям возраста, ИМТ, уровням гемоглобина, лейкоцитов, тромбоцитов, АЧТВ, ПТВ, ПТИ, МНО, общего белка, триглицеридов, глюкозы, АЛТ, ионов натрия, калия, хлора, уровню СРБ.
Для определения вероятности развития ишемического инсульта у пациентов в зависимости от сочетания ряда показателей нами построено уравнение бинарной логистической регрессии связи на основании данных наблюдений за описанными группами пациентов. В таблице 2 представлены оценки параметров модели.
Таблица 2.
Оценки коэффициентов регрессионной модели
|
Предиктор |
Оценка коэффициента |
p |
ОШ |
95% ДИ для ОШ |
|---|---|---|---|---|
|
Свободный член |
0,971 |
0,738 |
- |
- |
|
Возраст (v1) |
0,137 |
≤0,0001 |
1,1474 |
1,0905 - 1,2182 |
|
СОЭ (v2) |
-0,096 |
0,0001 |
0,9085 |
0,8627 - 0,9503 |
|
Фибриноген (v3) |
0,594 |
0,0052 |
1,8121 |
1,2098 - 2,7993 |
|
Общий белок (v4) |
-0,201 |
≤0,0001 |
0,818 |
0,7462 - 0,8855 |
|
Холестерин не-ЛПВП (v5) |
0,425 |
0,0173 |
1,5299 |
1,0865 - 2,2003 |
|
С-реактивный белок (v6) |
0,100 |
0,0049 |
1,1049 |
1,0355 - 1,1904 |
Примечания: ОШ – отношение шансов, ДИ – доверительный интервал, объём полных наблюдений – 125.
Как видно из таблицы 2, оценки коэффициентов предикторов статистически значимы (при пороговом значении 0,05), поэтому все предикторы включены в модель. Вероятность развития ишемического инсульта (p), согласно модели, для данного пациента находится следующим образом:
P = 1 / (1 + exp (-z)),
где z – линейный предиктор уравнения логистической регрессии, согласно таблице 2, имеющий вид:
z = 0,971 + 0,137•v1-0,096•v2 + 0,594•v3-0,201•v4 + 0,425•v5 + 0,1•v6.
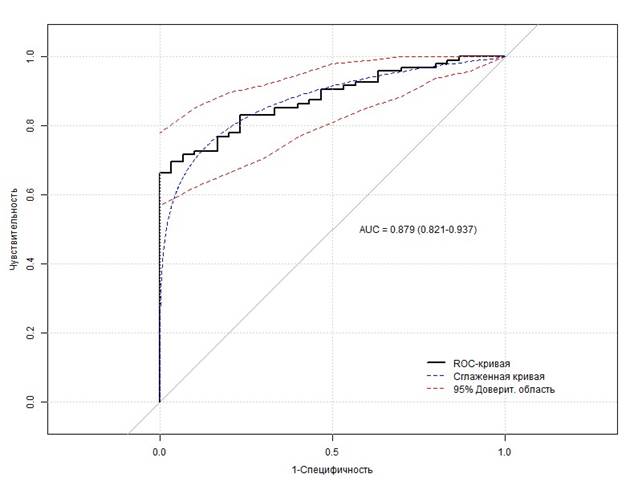
Принятие решения об отнесении испытуемого к группе 0 или группе 1 выполняется следующим образом: если P<P₀, то принимается решение об отнесении испытуемого к группе 0, если P>P₀, то принимается решение об отнесении испытуемого к группе 1. Выбор порога отсечения определяется значениями чувствительности, специфичности и точности классификации, определяемых при помощи ROC-анализа. ROC-кривая модели имеет вид (рисунок 1).

Рисунок 1. ROC-кривая модели; AUC-площадь под ROC-кривой
Площадь под ROC-кривой (AUC) составила (с 95% ДИ) AUC = 0,879 (0,821-0,937). В качестве порога отсечения была выбрана вероятность P₀ = 0,476. При данном пороге отсечения чувствительность равна Se = 77,89%, специфичность Sp = 76,67%, точность Acc = 77,6%, положительная прогностическая значимость – 91,36%, отрицательная прогностическая значимость – 52,27%.
Проведенное исследование позволило выявить значимые детерминанты острого ишемического инсульта у пациентов с АГ. Рассмотрим подробнее роль каждого детерминанта в полученной модели.
Возраст подтвердил свою роль как один из наиболее мощных предикторов развития инсульта (ОШ=1,1474; p≤0,0001). Полученные данные согласуются с общепризнанными представлениями о возраст-зависимом характере цереброваскулярной патологии. Увеличение риска на 15% с каждым годом жизни подчеркивает необходимость усиления превентивных мероприятий у пациентов старших возрастных групп с артериальной гипертензией.
Значимые ассоциации выявлены по метаболическим параметрам. Холестерин не-ЛПВП (ОШ=1,53; p=0,0173) подтвердил свою роль как значимого предиктора сосудистых событий, что согласуется с современными представлениями о приоритетной оценке атерогенных фракций липидов над общим холестерином [4].
В нашем исследовании выявлена статистически значимая обратная связь между уровнем общего белка и риском развития острого ишемического инсульта (ОШ=0,818; p≤0,0001). Полученные данные согласуются с современными представлениями о том, что концентрация общего белка представляет собой интегральный показатель протеинемии и отражает нутритивный статус пациента [2]. В недавнем исследовании 2025 года была обнаружена сильная связь между концентрацией общего белка и летальностью при ишемическом инсульте, как в общей популяции обследованных пациентов, так и в различных подгруппах. При этом у больных с атеротромботическим подтипом ишемического инсульта гипопротеинемия была более значимым предиктором летального исхода [2].
Особый интерес представляют выявленные маркеры воспаления. С‑реактивный белок (ОШ=1,1049; p=0,0049) и фибриноген (ОШ=1,8121; p=0,0052) продемонстрировали значимую положительную связь с риском инсульта. Более 20 перспективных эпидемиологических исследований показывают, что повышенный уровень высокочувствительного СРБ является независимым предиктором инсульта, инфаркта миокарда и сосудистой смерти у практически здоровых лиц [3]. Фибриноген является одним из основных маркеров активности прокоагулянтного звена системы гемостаза. В исследовании EUROSTROKE [1] показано, что высокий уровень фибриногена является предиктором ишемического инсульта, при этом особенно опасным является его сочетание с артериальной гипертензией [3].
Эффект СОЭ (ОШ=0,91; p=0,0001) требует дополнительного анализа. Возможно, это связано с нелинейным характером зависимости или взаимодействием с другими переменными в модели. Альтернативное объяснение может заключаться в особенностях выборки или наличием неучтенных факторов.
Таким образом, ключевыми детерминантами ишемического инсульта у пациентов с АГ являются возраст, уровень СОЭ, фибриногена, общего белка, холестерина не-ЛПВП, СРБ. Данная модель проста для использования в клинической практике, и позволит обратить внимание на факторы риска у пациентов с АГ для своевременной профилактики инсульта и корректировки лечения.

